
本文发表于《湖湘法学评论》2024年第4卷第1期(总第11期)“实证·数量法学”栏目
【作者】郝士铭,法学博士,云南大学动漫色情片
讲师。
【摘要】
我国残疾赔偿金计算标准的科学性问题是被学界与立法所忽视的重大问题。基于1315份裁判文书,对我国残疾赔偿金量定法与奥格登量定法的比较分析发现,我国残疾赔偿金所采用的“等额量定模式”存在着计算准确度低、主观任意性太强的问题。于此,应结合奥格登量定法中“差额比较”的规范理论与“反事实因果推断”的实证方法,通过“有损害”与“无损害”的比较范式以及基于经验实证评估的规范价值评价来确定赔偿数额。应尽快制定适合我国国情的人身损害赔偿在线手册,确立因人而异的赔偿金收入计算标准以及赔偿年限,基于“差额量定模式”制定残疾赔偿金量定表,并根据社会经济发展状况适时予以动态更新。
【关键词】残疾赔偿金;差额理论;金融保险;反事实因果推断
一、问题的提出
残疾赔偿金的量定与计算是侵权纠纷案件审理中的重大疑难问题,却没有得到学界足够的关注与重视。尽管侵权纠纷案件的争议点通常归为:归责与赔偿。但是实践中绝大多数案件一审、二审的争议与困境都落在损害赔偿数额的计算。面对司法实践中的困境,学界没有施以广泛关注,更多将研究重心落在侵权法实践中的归责等其他问题之上,这表明绝大多数研究的问题意识与主题都源于理论与文献,而非源于实践。纵观世界侵权法实践的发展趋势,人身损害赔偿数额的合理、科学量定愈来愈需要借助经济学、金融保险学与统计学等学科的理论与方法。然而,定量研究在我国法学界地位式微,在一定程度上影响了我国法学的跨学科交叉研究,包括对残疾赔偿金量定标准设置科学性的研究。
相比之下,英美等国家残疾赔偿金量定的司法实践,经历了从规范评价到定性定量相结合的范式转变,理论与方法已成体系且日臻成熟。法学学者联合经济学、金融保险学、统计学学者为残疾赔偿金的计算设计开发出了数理计量模型,使得法官的裁判有科学依据,其中最为成功的当数英国的《奥格登表》(Ogden Table)。法官根据当事人的性别、年龄、职业、经济状况、损害程度、损害关系等个人信息与案件情况以及死亡率、利率变化、劳动力转移率等时下社会背景信息,通过查询《奥格登表》即可相对精准地计算出应予判赔数额。整个裁量过程与标准公开、透明且清晰,每一个步骤都有理有据可依。《奥格登表》一经公布,其所采用的数理计量模型及“差额量定模式”便得到普遍的认可与采纳,并对世界各国残疾赔偿金的立法与司法实践产生深远影响。在马航MH370 事件的索赔案件中,我国有律师通过聘请计算机专家借鉴《奥格登表》开发出索赔计算模型,力图准确地为每名受害者家属计算索赔金额。
我国人身损害赔偿制度中残疾赔偿金量定标准的设置并未引入数理计量等科学方法,主张以“人均收入水平”“20年等赔偿年限”“伤残系数”的“等额量定模式”设置赔偿金量定标准,以此避免赔偿的两极化及“同命不同价”。鉴于尚未有研究系统地将残疾赔偿金的“差额量定模式”与“等额量定模式”进行比较,而关于残疾赔偿金量定标准科学性的研究更屈指可数,本文即拟在比较“差额量定模式”与“等额量定模式”的基础上明确两种方法的适用条件、具体规则以及一般法理,希冀有益于我国现行残疾赔偿金制度体系的完善及司法公正性的提升。
二、世界范围内残疾赔偿金
量定的两种模式
纵观主要国家的学说、立法与司法实践,可将人身损害残疾赔偿金计算标准的量定模式归纳为两类:“等额量定模式”与“差额量定模式”。在不同模式下,残疾赔偿金的量定方法各不相同。
(一)等额量定模式
德国学者诺伊勒(Neuner)在1931年发表的《利益与财产损害》一文中首次提出了直接损害的概念,指出损害的大小应由标的物(权利)的直接损害结果来进行衡量,例如残疾赔偿金就应以身体健康受损程度的衡量结果为基准。随后,维尔博格(Wilburg)从法律保护目的的视角进一步展开了论述,认为只要法律直接保护的对象遭到了损害,且这种损害具有客观性,那么伤残赔偿金就应以此损失作为最低数额。
上述观点及其所体现出的立法或者司法,即为“等额量定模式”。其核心论点在于残疾赔偿金的大小应由侵害行为所造成的直接损害结果进行衡量,只要衡量的客观结果具有规范保护目的范围内的可赔偿性,就应当以损害造成的直接损失进行赔偿。“等额量定模式”的一大特点在于其排斥人身损害具有个体差异性,由于残疾等身体损伤结果并无物理意义上的不同,因此对于同样的损伤而言,残疾赔偿金应当是持平的。与此同时,损害行为与直接损害结果之间的关联不是自然科学意义上的因果律判断,也不是以法官理性认识为标准的相当性判断,而应当是损害的归责评价与违法性评价,是一个各种利益互相衡量与选择判断的过程。
根据“等额量定模式”,残疾赔偿金的功能是抚慰受侵害者及其家属因损伤受到的伤害与损失。因此,“等额量定模式”下的残疾赔偿金是等额化赔偿或定额化赔偿,主张以一固定数额作为赔偿金量定的统一基准。对此,残疾赔偿金的量定以身体损害大小为基础,而身体损伤往往由0% ~ 100%的伤残系数来进行衡量,如澳大利亚、新西兰与美国的《医学会永久性损伤评估指南》(AMA Guides)、比利时的《官方残疾量表》(Official Belgian Scale of Invalidity)、法国的《康科尔斯医疗损害量定表》(Concours Dommage Barème)、意大利的《法律医学学会量定表》(SIMLABarème)以及英国的《英国损害量定表》(English Barème)。经统计,大约50% 的国家与地区都采用“等额量定模式”的方法来量定伤残。在“等额量定模式”下,残疾赔偿金的量定方法多以“人均收入”“统一赔偿年限”“伤残系数”等作为基准。
“等额量定模式”从其诞生之日起就受到多方面的批评,人们认为这种方法存在着伤残系数设置混杂凌乱、主观任意性太强且缺乏科学依据的问题。因此,晚近以来,很多国家都尝试对此做出改革。
(二)差额量定模式
19世纪德国法学家弗里德里希·蒙森(Friedrich Mommsen)在其1855年出版的《利益说》(Zur Lehre von dem Interesse)中创立了举世闻名的“差额理论”(又称“利益说”),对其后的德国民法典以及全世界的损害赔偿制度产生了极其深远的影响。在蒙森看来,为了确定损失的价值与大小,法官首先需要推算出假如损害没有发生时受侵害者的状态A,再用该数额减去损害发生后受害人实际状态B,最后所得的差额A-B即为损害大小。由此,残疾赔偿金等人身损害赔偿数额就应以差额A-B为基准。随后《德国民法典》第249条第1款对“差额理论”进行了拓展,认为“差额比较”不局限于财产比较,还包括权利状态比较、损害结果状态比较以及身体精神状态比较等。
上述理论及其所体现的立法或者司法,即为“差额量定模式”。其核心论点在于,人身损害以及赔偿金的大小应由“有损害”与“无损害”相比较的二元差额进行衡量,而非“等额量定模式”所主张的身体损伤等直接损害结果。“差额量定模式”的一大特点在于,其认为人身损害具有个体差异性(不仅仅是类型差异性),由于正常状态下每个人的收入、生活水平等各不相同,因此残疾赔偿金应因人而异,以尽力恢复至“如若损害不曾发生”的正常状态。在“差额量定模式”下,残疾赔偿金的性质被界定为财产性赔偿,功能是尽可能恢复受害者的正常生活。因此,“差额量定模式”下的残疾赔偿金是差异化赔偿,赔偿金量定的基准应因人因案而异,但赔偿标准是统一的。在“差额量定模式”下,残疾赔偿金的量定方法多需借助经济学、金融保险学与统计学等的理论与方法以对被侵害人的未来收入水平及赔偿年限等进行定量评估与预测。
为了解决“等额量定模式”存在的准确性低等问题,在国际法律医学学会(IALM)前主席圣达维德·费拉拉教授(Santo Davide Ferrara)的倡导下,由美国等横跨5大洲21个国家的法学专家、医学专家与实务专家共同组成的研究小组于2016年共同撰写出台了《人身损害确定方法与评估标准的帕多瓦章程》(以下简称《帕多瓦章程》)。《帕多瓦章程》主张采用“差额量定模式”下“有损害状态”(current social-psycho-somatic state)与“无损害状态”(pre-existing socialpsycho-somatic state)相比较的差额范式来量定伤残以及赔偿金大小,以此强调量定标准的科学性、客观性、严谨性与可重复性。与此同时,在Alexander v. Milwaukee(2007)、Geressy et al. v.Digital Equipment(1997)等产品侵权纠纷上诉案件的经典裁判中,美国联邦法官温斯顿(Judge Weinstein)依据纽约州法案结合相似案例以及“差额量定模式”,首次采用“聚类树”的定量方法来计算人身损害大小与赔偿等级。随后,这种根据“差额量定模式”,通过收集构造“案例池”并结合聚类分析、回归分析来计算人身损害的方法引发了广泛的讨论,并逐渐成为美国纽约等州司法裁判标准之一。
“差额量定模式”的正当性基础在于以下几点。第一,科学性。蒙森所提出的“有损害”与“无损害”相比较的差额规范理论与方法能够更为准确地评估、计算人身损害以及赔偿金的大小。因此,该模式的科学性就体现为规范教义与经验实证相结合所发挥出来的准确性、客观性、价值伦理性以及《帕多瓦章程》所特别强调的可重复性。相比之下,过于强调规范性评价的“等额量定模式”则被批评为缺乏经验科学的依据与基础、赔偿标准的设定过于主观。第二,合理性。正是基于该模式的科学性,“有损害”与“无损害”相比较的方法才能够捕捉到损害关系的异质性,从而将赔偿标准建立在这种异质性之上。相比之下,“等额量定模式”采用固定数额作为赔偿金量定的基准而忽视损害关系异质性的主张显然是不合理的。因为这种“一刀切”式的赔偿标准不符合侵权损害赔偿法“因人而异填补不同损害”的首要原则。第三,公正性。“等额量定模式”以固定数额作为赔偿金量定基准的主张是一种“形式正义”,人人适用同样的基准因此看似公平公正,但其实质则是不平等与不公正。相比之下,“差额量定模式”所主张的差异化赔偿则是“形式正义”与“实质正义”的统一,“形式正义”表现为赔偿标准的统一,而“实质正义”则表现为差异化的、因人因案而异的赔偿基准。总而言之,“差额量定模式”可谓人类历史上最为伟大的法律思想与法律方法之一,“有损害”与“无损害”相比较的“差额理论”对英美现代损害赔偿制度产生的影响极其深远,延续至今。
三、奥格登量定:金融保险计量方法在残疾赔偿金量定中的运用
“差额量定模式”塑造了人身损害赔偿制度的新面貌,唯一的美中不足在于其具体的计算与操作性问题,即怎么对差异化损害进行计算评估,怎么得知如若损害不发生时的反事实状态。对于这些问题,蒙森未予置述。在笔者看来,随着人类社会的进步以及科学技术水平的提高,这类看似无解的问题其实是有解的。此类问题在统计学以及定量社会科学上被称为“因果推断”(causal inference),统计学家唐纳德·鲁宾(Donald Rubin)与保罗·罗森鲍姆(Paul Rosenbaum)等对此类问题进行了深入研究。在反事实因果推断的框架下,损害发生后受侵害者的身体、生活等状态B被称为“处理对象的可观测结果”(observed outcome for treated unit),而无损害时受侵害者的身体、生活等对应状态A被称为“潜在结果”(potential outcome)或“反事实结果”(counterfactual outcome)。收集与受侵害者在收入水平、年龄、性别、职业等方面相似但没有受到侵害的人群数据作为控制组(control group, donor pool),法官就可以通过反事实因果推断的定量方法估计出若损害没有发生的反事实状态。统计学家于此证明了在一定的条件下反事实状态估计量是真实无损害状态的一致估计量。通过这种定量的方法,残疾赔偿金计算的基准就为二者的差值。在19 世纪、20世纪,“差额理论”仅能提供一种损害赔偿的理论思路与框架,但随着大数据以及“新法科”时代的到来,数量法学、计算法学的兴起将为“差额量定模式”注入新的活力。主张差异化赔偿的“差额量定模式”不再仅停留在理论与学术观点的层面,而是能成为一种切实的残疾赔偿金计算方法与标准,其中最为瞩目的便是奥格登量定法。
在英美现代损害赔偿制度中,法官在计算一次性残疾赔偿金时往往采用“被乘数/乘数法”(multiplicand/multiplier;lump sum payments):残疾赔偿金= 损害被乘数× 损害乘数。“损害被乘数”指诉讼时损害致使受侵害者总收入的减少份额(由前文所述的“反事实因果推断框架”予以计算),包括收入的减少、医疗费用的支出、损害的评估等。如损害发生后由于受伤(或严重伤残)受侵害者的年收入为4万元,而如若损害不发生其正常情况下的年收入应为10万元,那么损害被乘数就为每年6万元。“损害乘数”指的是损害被乘数可能持续的时间长短及可赔偿性大小,即损害致使的可期待利益丧失可能延续多长时间以及侵权人应在多大程度上承担赔偿责任。确立“损害乘数”需要将未来的损失折扣至现在,折扣因子包括通货膨胀率、利率、人口死亡率、税率、投资回报率、地区经济发展水平以及当事人的性别、年龄、职业、受教育水平、工作年限、伤残等级、经济能力等因素。对此,法学学者、法官联合统计学、计量经济学尤其是金融保险学者提出了计算“人身损害乘数”的计量理论与方法。
在英国,采用上述方法根据年龄、性别、损害状况计算得到的不同损害乘数表被汇编成一本统一的人身残疾赔偿手册,称为《奥格登表》,全名为《人身损害赔偿表与注解》(Actuarial Tables with Explanatory Notes for Use in Personal Injury and Fatal Accident Cases )。《奥格登表》由英国米歇尔·奥格登爵士发明,并在1984年由英国保险部首次颁布。奥格登爵士是英国保险精算与律师协会主席,一直负责《奥格登表》的修改、更新与出版。在进行残疾赔偿金计算时为了将变化中的利率、税率等社会经济发展状况考虑进内,《奥格登表》每隔一段时间就要进行计算更新。因此,从1984年的第一版至今,《奥格登表》已更新发布了8个版本,目前仍然是英国人身损害赔偿司法裁量的主要依据与标准。《奥格登表》由28张损害乘数表构成(如表1所示)。

法官在具体的人身损害赔偿案件中根据当事人的性别、年龄、职业、受教育状况、受损害状况、经济状况等具体案情通过查询《奥格登表》所对应的损害乘数就可以计算出应予判赔的数额。
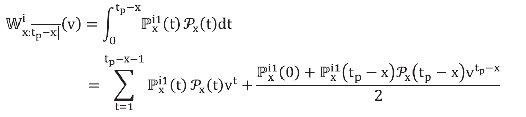
人身损害乘数的计算基础是金融保险学中的工作预期寿命(work life expectancy,WLE),即如果损害不发生,受侵害者能够工作的预期年限。在计算工作预期年限时应考虑以下几点。(1)法定退休年龄。若损害不发生,那么受侵害者正常状态下按照诉讼时的年龄预期还需要工作几年才能退休。(2)死亡率。正常情况下受侵害者疾病或意外死亡的可能性。(3)换工作或升职、降职的概率。由于不同职业的收入水平、不同职位的收入水平各不相同,因此需要考虑到损害若不发生,正常状态下受侵害者职业的变迁与晋升的可能性。于此,基于两状态(受雇佣- 不受雇佣)马尔科夫模型(two-state Marcov model),损害乘数(赔偿年限)等于:

其中 v=1/(1+r) 表示贴现因子(discount factor),r 为利率;
表示受侵害者诉讼时 x 岁在往后的第t年时雇佣状态从i从j的概率,其中 i, j=2 表示有工作,i, j=1 表示失业;
表示法定退休年龄或雇佣合同约定的工作期限;
表示受侵害者x岁时在往后的第t年的生存概率,t=1,2,…,
-x。由此,损害乘数就表示受侵害者在诉讼时x岁还能往后工作几年的期望,即工作预期寿命。通过收集不同地区、不同职业、不同受教育水平、不同年龄、不同性别以及地区居民的工作变迁数据、劳动力转移数据、人口分布数据等,法官就能估计出损害乘数。其中,学者多主张用人口数据来计算
表示统计收集到的从x-1岁的雇佣状态i转移到x岁的雇佣状态j的总人口数, 则表示x岁的人在上一年(x-1岁)处于雇佣状态i 的总人口数。在此基础上,需要用以下折扣因子(reduction factor,RF)来对损害乘数进行调整以在确定残疾赔偿金时将受侵害者的职业、经济能力等个人情况考虑进内:

折扣因子已被第六版《奥格登表》所收录。
假设在一起人身损害案件中,女性原告在诉讼时35岁,侵权事件发生前她在一家私有企业工作,每年的收入为35万元,损害发生后由于无法继续之前的工作所以重新找了一份工作,现年薪为17万元。根据《奥格登表》,残疾赔偿金的计算方法如下。
(1)确定损害乘数。根据《奥格登表》(如表2所示),在利率r=5.0%的情况下,一位35岁女性原告工作到60 岁的损害乘数为18.39。

(2)确定损害发生前与后的失业风险与折扣因子。根据折扣因子,一位35岁女性在正常情况(无损害)下的收入折扣因子为0.014;又根据失业风险计算,对应的失业风险为0.84。反之,损害发生后,一位35岁女性在损害下的收入折扣因子为0.11。根据失业风险计算表,对应的失业风险为0.41。
(3)确定损害若不发生时的预先期望。根据“被乘数/ 乘数法”,可得利益损失=35 万元×18.39×(0.84+0.01)=390788 元,表示若损害不发生原告工作至退休(或意外死亡)的期望收益是390788 元。
(4)确定损害发生时的实际期望。根据“被乘数/ 乘数法”,可得利益期望=17 万元×18.39×(0.41+0.11)=162568 元,表示损害发生后原告工作至退休(或意外死亡)的期望收益是162568 元。
(5)计算损害赔偿数额。根据“差额比较量定法”,赔偿数额=390788 元-162568 元=228220 元。
司法实践中使用如上所示的统计学、金融保险学、计量经济学的计量理论与方法来计算残疾赔偿金是在英国上诉法院Wells v. Wells(1999)一案的裁判中首次得到肯定。此后,采用经验实证的方法来计算人身损害赔偿数额逐渐成为英国等国司法裁判的基础与标准。随着《奥格登表》的推广与完善,英国国会上议院与英国工会也开始倾力支持通过统计学、经济学定量分析与规范法学定性分析相结合的方式来帮助法官确定侵权责任大小与损害赔偿数额。《奥格登表》终在1995年英国《民事证据法案》(Civil Evidence Act 1995)与1996 年英国《损害赔偿法案》(Damage Act 1996)中获得法律效力,成为英美现代损害赔偿制度中最为重要的部分之一。我国香港特别行政区使用统计学、计量经济学的计量理论与方法来计算残疾赔偿金的经典案例是陈培基女士诉公共汽车公司侵权一案。陈培基女士10岁时被双层巴士车门击倒导致严重的头部损伤,原告主张采用金融保险的计量方法对《奥格登表》进行调整以评估不可逆转的损伤致使的损失,并最终得到主审法官的认可与支持。陈培基女士受损一案是香港人身损害赔偿案件司法裁判的里程碑,其后香港大学动漫色情片
学者根据香港社会经济发展状况专门计算制定了适合于香港地区的《奥格登表》,该表被称为“陈氏表”(Chan Tables)。“陈氏表”现已成为香港人身损害赔偿案件司法裁判参考的重要依据。
《奥格登表》所采用的“损害发生”与“损害若不发生”相比较的方法本质上遵循了19世纪德国民法学家弗里德里希·蒙森在其1855 年出版的《利益说》中创立的“差额理论”。在蒙森看来,损害赔偿数额量定的基准就等于“假如损害没有发生时受害人应有的财产总额”减去“损害发生后受害人实际拥有的财产总额”。而《奥格登表》中的“被乘数/ 乘数法”正符合这种“差额比较量定”范式,“损害被乘数”由有损害与无损害的状态差额所决定,“损害乘数”由损害发生至恢复原态或损害停止的时间长短所决定。由此可见,《奥格登表》所采用的“差额比较”本质上就是统计学因果推断中的双重差分(difference in difference,DID)等定量方法,故而蒙森比统计学等其他学科相同理论的提出者早了近70年。《奥格登表》所采用的“差额量定模式”以及通过跨学科交叉范式来计算残疾赔偿金的方法逐渐推广至全球,已成为美国、澳大利亚、加拿大、新加坡、马来西亚、土耳其等国家计算残疾赔偿金的主要方法,对大陆法系国家的司法实践也产生了深远影响。
四、我国残疾赔偿金量定法与奥格登量定法之比较
最高人民法院2022年5月颁布实施的《关于修改〈最高人民法院关于审理人身损害赔偿案件适用法律若干问题的解释〉的决定》,将残疾赔偿金的量定标准设置为“等额量定模式”。由此,残疾赔偿金的主要功能是抚慰受侵害者及其家属因损伤受到的伤害与损失,实行定额化赔偿,主张以一固定数额作为赔偿金量定的统一基准,如“城镇居民人均可支配收入”“20年赔偿年限”以及“伤残系数”。对此,残疾赔偿金的量定以身体损害大小为基础,而身体损伤往往由0%~ 100%的伤残系数来进行衡量。因此,残疾赔偿金= 受诉法院所在地上一年度城镇居民人均可支配收入×赔偿年限× 伤残系数。
有未发表观点认为“我国人身损害赔偿采用的计算标准仍是‘差额理论’的一种,只不过考虑到收入水平等逸失利益的不确定性以及避免损害赔偿两极化等问题,最终在‘差额说’的框架下采用了‘客观标准+ 定额化’的模式”。其实,此观点是值得商榷的。我国采用“人均收入”作为赔偿金量定基准并不符合“有损害”与“无损害”相比较的范式,而是更接近“等额量定模式”,不属于“差额理论”。为了进一步将“等额量定模式”与“差额量定模式”区别开来并考察实际赔偿效果,以下拟结合裁判文书通过定量实证的方法进行比较分析。
(一)数据的收集与描述
本文收集了1315份家庭暴力型离婚损害赔偿案件的司法裁判文书,通过蒙特卡罗模拟的方法,分别用我国现行残疾赔偿金量定法以及奥格登量定法计算出应予判赔数额,并通过实证的方法进行比较分析。根据奥格登量定法,应首先从裁判文书中提取出:原告性别以及原告年龄(立案日期- 原告出生日期);其次应依据原告性别与年龄根据《奥格登表》计算出不同利率水平下的赔偿年限;最后,根据我国现行残疾赔偿金量定法以及奥格登量定法,残疾赔偿金的计算公式分别为:
现行量定方法=
·20·α=β·
·20·α
奥格登量定法=
·ratio -
·ratio =β·
·ratio -
·ratio
其中,
表示如若损害不发生原告应有的收入水平、
表示损害发生后原告的实际收入,β=
表示无损害发生与有损害发生时的收入之比,一般地我们假设β > 1,即损害降低了原告的收入水平;α 为伤残系数;ratio 为奥格登量定法中的赔偿年限,相对应地,我国60岁以下受侵害人的赔偿年限为20年。根据公开的裁判文书,由于参数β并不可知,而家庭暴力型离婚损害赔偿案件中的伤残系数太低,无法涵盖各种伤残等级情况,因此本文采用蒙特卡罗模拟的方法来模拟参数α,β 等的不同取值。令参数α服从0-1均匀分布α ~ U(0,1),参数β服从1-100 均匀分布β ~ U(1,100),变量
服从100-200 均匀分布
~ U(100,200)。模拟计算1000次后的结果如表3所示。

由表3,我们发现绝大多数离婚损害赔偿案件的原告都为女性(72.41%),即因丈夫一方的家庭暴力、虐待等行为致使夫妻感情破裂从而提起离婚损害赔偿。伤残系数从0.01到0.96基本能够涵盖住各种伤残情况,而收入比值从1到100也基本能够涵盖住各个收入阶层的状况。
(二)我国残疾赔偿金量定法存在的问题
根据我国现行残疾赔偿金量定法以及奥格登量定法的计算公式,我们可以进一步计算出不同伤残系数下法院应予判赔的残疾赔偿金,计算结果及二者的比较如图1所示。
(1)两种赔偿金的量定数额都随伤残系数的增加而提高,并且有意思的是虽然我们设置的奥格登量定法中没有计算伤残系数,但是由于收入比值本身与伤残系数有关(伤残系数越大、β 的取值就越大),因此奥格登量定法可以间接地表征出伤残程度。相比之下,现行量定法需要直接计算伤残系数,如果计算有误则会导致赔偿金量定偏误。(2)奥格登量定法的计算结果大于现行量定法的量定结果。无论伤残系数如何变化,也无论受侵害方的性别与年龄如何变化,奥格登量定法的计算结果都大于现行量定法。这可能是因为,奥格登量定法属于“差额比较量定”范式,需要计算无损害与有损害状态下收入的差值,因此二者的差值越大赔偿数额也应越高。(3)奥格登量定法与现行量定法计算结果的差值与伤残系数呈现出“倒U 型”关系,伤残系数越大二者量定结果的差异就越大,并且在伤残系数等于0.73时达到最大这表明对于严重型人身损害的残疾赔偿,奥格登量定法与现行量定法的差异最大。

虽然以上实证分析发现奥格登量定法与现行量定法具有较大的差异,但是仍无法说明究竟哪种方法更为科学合理。对此,我们需要进一步的分析。表4 为两种量定法与伤残系数的相关性与拟合性结果。

我们发现无论利率水平如何变化,奥格登量定法与伤残程度之间的相关性与拟合性都大于现行量定法。奥格登量定法与伤残系数的相关性比现行量定法高出0.04个单位,而拟合性高出0.02个单位。这表明奥格登量定法更切合伤残程度,更能够表征具体的伤残状况,因此更具有合理性。
在相关性分析的基础上,我们进而可以基于因果性分析说明为什么奥格登量定法更为科学合理。因果性分析的结果如表5所示。


我们发现奥格登量定法确实更为科学合理。(1)在奥格登量定法中,伤残系数对赔偿数额的影响是显著的,伤残系数每提高1个单位,赔偿数额会至少平均提高4万元。而在现行量定法中,伤残系数对赔偿数额的影响是不显著的,即赔偿数额与伤残系数之间没有统计学意义上的因果关系,明显缺乏合理性;(2)奥格登量定法下的模型拟合系数(0.99)比现行量定法下的模型拟合系数(0.97)高了0.02 个单位,这说明奥格登量定法的计算效率与准确度更高;(3)更为重要的是,根据模型误设检验,现行量定法下的模型是错误设定的而奥格登量定法是正确设定的,这说明现行量定法的公式设置有误,无法正确地表示出应予判赔数额与各量定考虑因素之间的函数关系,也进一步表明奥格登量定法更为科学合理。
综上所述,我国现行残疾赔偿金量定所采用的“直接损害量定法”存在以下问题。第一,低估了应予判赔数额,尤其是严重伤残状态下的应予判赔数额;第二,与伤残程度的切合度较低,无法准确地表征伤残的具体结果与后果,尤其是无法表征伤残给受侵害方造成的长远不利后果,因此计算的准确度低;第三,赔偿金量定公式的设置缺乏科学根据,尤其是最高伤残指数、附加伤残指数的加总计算主要依靠主观评价而非客观评估,因此具有较大的主观任意性。此外,“人均收入水平”“20年等赔偿年限”的定额固定基准没有将人的社会异质性考虑进内,在司法实践中可能会引发裁判偏差与不公。相比之下,奥格登量定法不存在这些问题,根本原因在于如实证研究结果所示其采用了“差额量定模式”。
五、奥格登量定法之于我国残疾赔偿金量定的借鉴与适用
(一)对我国现行残疾赔偿金量定标准的反思
根据上文实证分析结果,我国残疾赔偿金“人均收入”“20 年等赔偿年限”的计算标准显得过于“武断”,量定方法没有建立在严谨的科学理论之上,人身伤残系数量定标准不统一,赔偿标准不能适应时代的新发展。为什么赔偿年限是20年而不是15年或17年?为什么要以居民人均可支配收入的平均数而非中位数或其他分位数作为赔偿标准?这些问题都有待进一步讨论。
事实上,我国采用固定统一赔偿基准的主要原因在于统筹城乡发展,以防止出现城乡地区“同命不同价”的“裁判不公”现象;以及避免赔偿两极化,尤其是避免赔得过多而过分责难被告导致贫富差距。然而这种所有人适用统一赔偿基准的量定方法忽视了人的发展的差异性,不同收入、不同职业、不同受教育水平、不同年龄的受侵害主体都采用“城镇人均可支配收入”作为残疾赔偿金量定的基准违背了“完全赔偿原则”的侵权救济法理。事实上,强调赔偿金量定方法应予统一,而赔偿金量定基准应因人因案而异一直是我国侵权法学界的权威与主流观点,也是世界侵权法学界的核心论点。“等额量定模式”在司法实践中可能会引发实质上的不公平与不平等。
(二)我国残疾赔偿金量定借鉴奥格登量定法的可行性
相比之下,奥格登等“差额量定模式”通过科学计量方法建立起的因人因案而异的赔偿金量定方法已经被越来越多的国家所接受,值得我们借鉴学习。
我国借鉴奥格登量定法也具有可行性。(1)各省、自治区、直辖市的统计局能够为人身损害赔偿金量定表的制定提供适时的社会经济发展水平、居民收入水平、劳动力迁移、人口结构等抽样调查数据,各高级人民法院在此基础上可根据奥格登量定法以及辖区内的社会发展状况制定残疾赔偿金量定表。在英国,《奥格登表》主要由保险部门制定,受英国人口与社会抽样调查制度的约束,保险部门无法及时获取人口结构的变迁数据,因此无法根据社会经济发展的状况对赔偿金量定表予以及时更新。相比之下,我国自上而下、网格化的社会抽样调查制度以及统计监督制度能够为准确制定伤残赔偿金的奥格登量定表提供数据支撑与制度保障。(2)我国审判监督程序能够有效地监督法官适用伤残赔偿金量定表,从而规范自由裁量权,确保法官准确地适用伤残赔偿金量定表。奥格登量定法的一大优点在于可以使得法官裁量残疾赔偿金数额的过程公开透明化,因此能够对法官裁量过程施以有效监督,当事人对此过程中的任意环节均能够提出有效质疑。而相比之下,英国法官适用《奥格登表》的过程则缺乏有效监督,因此案件裁判结果容易受到质疑。
(三)奥格登量定法在我国残疾赔偿金量定中的具体适用
将我国人身损害赔偿标准与英美现代损害赔偿制度相比较后(如表6所示),笔者认为奥格登等“差额量定模式”中的两个赔偿计算标准尤为值得我国借鉴。

第一,个体差异化的收入标准。
我国现行“受诉法院所在地城镇居民人均可支配收入”的赔偿金收入计算基准应予重构,应采用“差额量定模式”下个体异质性的计算标准,以不同收入、不同年龄、不同职业、不同受教育水平受侵害者的收入水平作为赔偿金量定基准。对此,应采用“差额比较量定”范式来计算因劳动能力受损而逸失的劳动收入,即损害被乘数= 损害若不发生时受侵害者的应有收入水平- 损害发生后受侵害者的实际收入水平。对此,受侵害者应向法庭举证其在损害若不发生时的应有收入水平以及损害发生后的实际收入水平。
第二,赔偿年限:残疾赔偿金量定表的制定。
我国现行20年等的残疾赔偿年限基底应予修正。一位20岁的受侵害者与一位59岁的受侵害者都以20年作为残疾赔偿年限的基准显然不符合法理与情理。此外,采用“城镇居民人均可支配收入”作为计算赔偿数额的基底同样应予修正。一位年薪百万的高收入受侵害者与低收入受侵害者都以“人均收入”作为计算其残疾赔偿金的标准显然不合理。对此,应根据我国各省市地区的社会经济发展状况以及各个行业的居民收入状况与生活状况借鉴《奥格登表》来制定各个省市地区的损害赔偿计算表。以“损害被乘数/ 损害乘数”与“预期工作年限”为基础,采用金融保险学、统计学、计量法学的方法来计算赔偿金,从而将当事人的性别、年龄、职业、收入水平、受教育程度、受损程度、侵权行为的方式、后果、危害性、过错程度、因果关系强度、大小与方向以及地区经济发展水平、居民收入水平、消费水平、利率变化等会对赔偿金数额量定产生影响的当事人因素、案件因素、社会背景因素考虑进赔偿数额的量定标准内,以此统一裁判标准,实现司法裁判的个案公正与正义。
因此,笔者呼吁尽快制定适合我国国情与司法制度的侵权损害赔偿在线手册并分为五章。第一章,一般规定;第二章,财产损害赔偿;第三章,人身损害赔偿;第四章,精神等其他民事权益损害赔偿;第五章,附则。第三章人身损害赔偿中的残疾赔偿金应由34个省级行政区的残疾赔偿金量定表构成。量定表应由各高级人民法院联合各民政局、统计局结合辖区内的社会经济发展状况根据前文所述的“奥格登量定法”制定。由此,法官在裁判案件时结合具体案情通过查询手册即可准确计算出损害赔偿数额。此外,手册应公开并动态更新。(1)损害赔偿手册应统一在法院网站上予以公开。全国34个省级行政区的社会经济发展状况各不相同,因此需要分别制定损害赔偿表。又由于每个计算表都由28张子表构成,所以一共有952张损害计算表,如若全予纸质出版发行,太过浪费资源且不便于法官查询。反之予以集结上网公开,不仅节约资源还便于法官查询,点击相应章节即可。(2)手册每过一段时间就应予以修改更新。社会经济发展环境、居民收入水平、劳动力迁移、人口结构等损害赔偿数额量定因素都在随着社会的发展不断变化,因此每隔一段时间就应对手册进行修改更新以适应社会新发展。
对此,各省级行政区高级人民法院以及统计局应在最高人民法院的组织领导与协作下每隔一段时间(如3年)根据各个辖区内的社会发展状况对侵权损害赔偿在线手册中的残疾赔偿金量定表进行更新计算,由最高人民法院统一以“司法解释”的方式予以上网公开以方便法官裁判。
六、结语
19世纪德国法学家蒙森提出的理论之所以最后能够在英美法系“开花结果”,根本原因在于英美法学界接纳了金融保险学、经济学、统计学、心理学等学科的定量理论与方法,使得蒙森的“差额理论”从一种指导理论与规范学说切实地成为一种计算人身损害赔偿数额的具体裁量方法,进而构成英美现代损害赔偿制度的核心。由此,通过数理计量方法构建人身损害赔偿数额的量定方法与标准是世界各国损害赔偿制度发展的大趋势。本文在考察世界各国残疾赔偿金“等额量定模式”与“差额量定模式”的基础上,基于1315份家庭暴力型离婚损害赔偿司法裁判文书,通过实证的方法对我国残疾赔偿金量定法与奥格登量定法进行了比较分析,发现我国残疾赔偿金量定法存在着计算准确度低、主观任意性太强的问题,在实践中容易产生较大的司法裁判偏差。因此,应从原因力大小、侵权责任大小、收入计算标准以及赔偿年限大小三个方面借鉴奥格登量定法来科学地制定我国残疾赔偿金量定标准。全国各省级行政区的高级人民法院应根据各自辖区的社会发展状况,分别借鉴奥格登量定法制定残疾赔偿金量定表,备案审查通过后予以上网公开,并在此基础上根据经济发展、居民收入水平、劳动力迁移、人口结构变迁等社会发展状况适时对量定表予以动态更新。在具体案件的裁判中,法官结合案情通过查询量定表即可更为科学、准确地计算出残疾赔偿金。

